摘要:铝芯电缆相比铜芯电缆的购置费用低,但其技术性能相对较差。从长期经济性角度选择铜或铝芯电缆,考虑资金的时间价值,建立包括购置、敷设、电能损耗、运行维护、故障损失和退役成本的电缆全生命周期成本(LCC)计算模型,通过对铜、铝芯电缆LCC的计算和比较,以LCC最小作为铜、铝芯电缆间选择标准。以广州城区某电缆线路作为案例进行计算分析,结果表明铝芯电缆相比铜芯电缆购置成本优势较大,但敷设成本和后期运行成本具有劣势,总LCC更大,铜芯电缆为最优方案,证明LCC方法的可行性。
关键词:全生命周期成本 长期经济性 铜芯电缆 铝芯电缆 选择方法
引言
近年来,因铜价始终远高于铝,“以铝代铜”的呼声始终不断[1-3]。国内每年电缆使用量巨大,如果可以用铝芯电缆替代或部分替代铜芯电缆,则可以节省大量初始投资。但铝在导电性、机械强度、抗疲劳、熔点和热稳定性等方面与铜相比均较差,技术方面的不足会使铝芯电缆线路在长期运行中产生更多成本,即其运行、检修和故障成本可能会更高。对于铝芯电缆,既不能只看其初始购置成本的优势而盲目使用,也不可只关注其性能方面的劣势而一概排斥,而应从长远经济性角度,对工程中如何合理选用铜或铝芯电缆进行分析。
目前,关于铜、铝芯电缆间比较或选择的文献主要针对技术或初始投资方面。文献[1]主要针对以铝芯电缆代替铜芯电缆时的截面选择、导体对接和附件选择等技术方面的问题进行研究;文献[2]通过经济、社会效益的分析来研究中低压电网中以铝代铜的可行性;文献[3]基于铜、铝芯电缆技术和经济特性分析,给出四川电网铝芯电缆应用建议。但以上文献都未从长期经济性角度进行考虑。
当前全生命周期成本(life cycle cost,LCC)方法在电力行业中得到了越来越多的应用[4-9],而LCC方法正是通过长期经济性的比较进行不同方案间的选取,LCC比较中也反映了技术层面的差距,故其可以应用在电缆长期经济性比较中,实现铜、铝芯电缆间的选择。但目前电力行业中对LCC的研究仍多集中于变电站、变压器和架空线[10-16],关于电缆LCC的研究仍较少。
本文将在进行铜、铝芯电缆间的选择时,引入LCC理论。首先在考虑电缆整个生命周期的基础上构建电缆的LCC模型,包括购置成本CA、敷设成本CL、电能损耗成本CO、运行维护成本CM、故障损失成本CF以及退役成本CD,以LCC最小作为2种电缆间选择依据。在此基础上,以实际电缆工程对模型进行验证,并选取一些因素进行灵敏度分析。
1 电缆LCC模型构建
1.1 电缆LCC模型
全寿命周期成本LCC指设备或系统寿命周期内,为其规划、设计、制造、购置、安装、运行、维修、改造、更新直至报废的全部成本之和,是从设备、系统的长期经济效益出发,使总成本最小的一种具有全局性和系统性的理念和方法[17-18]。
按照LCC理论的解构原则,参考电缆的运行规律和关键控制点的费用支出,可将电缆LCC划分为初始投资成本、运行成本和报废成本。其中,运行成本包括运行损耗成本、运行维护成本和故障损失成本。成本分解如图1所示。同时考虑资金的时间价值,可按一个指定的折现率把电缆LCC计算期内各年的净现金流量折算到计算期第1年年初,折算系数为

式中:i为贴现率,无量纲;n为电缆运行年限。

图 1 电缆LCC分解图
下文将对电缆LCC中各组成成本建立详细的数学表达式,其对铜、铝芯电缆都适用,同时分析铜、铝芯电缆技术和成本上的差异。
1.2 购置成本
购置成本CA指电缆本体及附件材料成本,其中附件成本相对电缆本体很小,而本体成本中导体成本占购置成本的比例较大,且与导体的市场价格密切相关。
(2)
式中:PDL为折合后单位长度单根电缆成本,元/m;NHL为线路回路数;NXX为单根电缆线芯数;LDL为线路长度,km。
一般来说,同等载流量时铜铝导体成本比约为1∶6(按铜铝市场价3∶1、铝导体截面比铜导体大2个等级计算[1]),即使考虑绝缘等成本,铝芯电缆价格仍远低于铜芯电缆。
1.3 敷设成本
敷设成本CL包括电缆通道施工建设成本和电缆安装成本。目前常见敷设方式为直埋、电缆沟和排管,不同敷设方式下通道建设成本差别较大。电缆安装成本指电缆运输、搬运、固定、附件安装的成本,其相对通道建设成本很小。
(3)
式中:PTD为折合后单位长度电缆通道建设成本,元/m;PAZ为折合后单根单位长度电缆安装成本,元/m。
为达到相等载流量,铝芯电缆相比铜芯电缆一般提高2个截面等级[1],故外径更大。对于直埋敷设,铝芯电缆需要的土石方量较大,而电缆沟敷设时除土石方量,铝芯电缆金具成本也会增加。目前城区电缆多采用排管敷设,铝芯电缆可能需要更大管径的排管,通道建设成本也会增加。
1.4 电能损耗成本
电能损耗成本CO与电缆电能损耗直接相关。相比于电缆本体损耗,附件损耗可忽略不计,而本体损耗包括导体电阻损耗、介质损耗、金属屏蔽层损耗和铠装层损耗[19]。现工程中多采用IEC 60287标准[20]中有关损耗公式计算本体损耗。参考最大负荷损耗时间法,CO表达式为
(4)
式中:WSH为单位长度单根电缆最大负荷时的功率损耗,W/m,忽略一回路不同相电缆间损耗的差异,因其对损耗电量的计算影响较小;τ为年最大负荷损耗小时数,h;μ为单位电损电价,元/(kW˙h)。
因在同等载流能力下铝芯电缆截面比铜芯约大2个等级,弥补了铝导体电阻率上的劣势,铜、铝芯电缆交流电阻很接近[1]。
1.5 运行维护成本
对于电缆,运行维护成本CM包括线路定期巡视和预防性实验的费用。但考虑到中国电缆线路工程关于巡视和预防性试验的成本数据搜集比较困难,实际中这部分费用多来自电网补贴费和固定拨款费,可根据历年统计数据估计平均年总维护费用,则CM计算如式(5)所示。
CM=PYWLDLKZS(5)
式中:PYW为单位长度线路的运行维护成本,万元/km。
根据浙江电网铝芯电缆线路运行维护经验[21],铝芯电缆需加强运行维护,定期开展电缆附件的测温工作。所以,铝芯电缆线路巡视和预防性试验的周期要比铜芯电缆线路更短,运行维护工作量更大。
1.6 故障损失成本
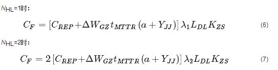
故障损失成本CF包括直接损失成本和间接损失成本,直接损失包括故障修复成本,间接损失指因停电而造成的社会经济产值损失。而目前比较重要的用户往往采用双回路电缆供电甚至环网供电方式,当其中一回路甚至两回路发生故障时,仍可保证用户不会停电。
但为从源头上提高可靠性,供电企业倾向于选择可靠性更高的设备,同时建立LCC模型的目的并不是全面、完整、准确地计算LCC,而是根据各方案间LCC的差异为选择最佳方案提供决策依据[22]。所以,这里假定电缆故障将造成用户停电,将企业售电减少和用户收入损失作为一种惩罚性成本折算到故障损失成本中,LCC的比较中就能反映可靠性因素,顾及电缆选择中对可靠性的要求。忽略双回路线路中两回路同时故障的概率,则CF表达式为

式中:ΔWGZ为故障回路正常运行时损耗功率,W/m;λ1、λ2分别为单、双回路线路一回路年故障次数,次/(km˙年);a为售电电价,元/(kW˙h);YJJ为间接停电单位电量损失,元/(kW˙h);CREP为单个故障单位时间平均修复成本,万元/(kW˙h);tMTTR为单个故障平均修复时间,h。
YJJ主要是通过用户类型和重要程度进行估算,常取为单位电量的产值[23]。
对于大截面铝芯电缆(≥500 mm2),因铝蠕变、氧化及紧压系数等原因,接头处理难度比铜芯电缆的大,可靠性明显不如铜芯电缆[21]。
1.7 退役成本
退役成本CD指电缆的退役处置费用和设备残值的差值。由于国内电缆投运时间相对国外较短,电缆退役和回收方面的经验较少,该部分成本的确定较为困难。参考已有文献中变压器和架空线路退役成本的计算[11-12],取CD表达式为

式中:ρCZ为退役处置成本相对敷设成本的比例,敷设方式不同该比值也不同,参考《电网工程假设预算编制与计算标准使用指南》,其可取20%~40%;ρHS为电缆残值相对购置成本的比例,按国际惯例常取5%。
1.8 电缆评估目标函数
综上所述,建立铜、铝芯电缆间选择的LCC费用现值模型如式(9)所示。

对于某一拟建电缆线路,待比较铜、铝芯电缆应满足约束条件式(10),将所需参数代入式(9)得到铜、铝芯电缆LCC,通过其大小比较确定最佳电缆方案。应注意的是,在电缆LCC计算过程中,为提高分析效率,允许对铜、铝芯电缆LCC中共同拥有的费用采取简化处理或不参与比较[22]。
2 实例分析
2.1 LCC计算
广州城区某变电站拟新建一条长约10 km的10 kV双回路电缆线路出线,排管敷设。根据线路设计容量和其他各方面要求,暂定铜芯电缆8.7/15 kV YJV22 3×300 mm2和铝芯电缆8.7/15 kV YJLV22 3×500 mm22种方案,现运用LCC方法进行2种方案间的选择。参考已有统计数据和资料,并根据该电缆线路拟运行负荷、重要程度和当前市场情况,取全局参数如表1所示,2种电缆具体选型参数如表2所示。

表 1 电缆线路全局参数


表 2 铜、铝芯电缆选型参数
将全局参数与铜、铝芯电缆选型参数代入电缆LCC计算模型中,LCC解构对比如表3和图2所示,且以铜芯电缆为例进行各组成成本比例分析,如图3所示。
(1)由表3可知,相比铝芯电缆,铜芯电缆LCC更小,故该实例中应选择铜芯电缆。虽然铝芯电缆初始购置成本远低于铜芯电缆,但在敷设成本和后期的运行、故障、报废成本等方面均处于劣势,使得总LCC更大,说明实际工程电缆选择中不能只关注初始投资。
(2)铜、铝芯电缆间选择时,更应关注两者LCC的差距。由表3和图2可知,铜、铝芯电缆LCC各组成部分中差别最大的是购置成本;其次是敷设成本(因铝芯电缆需排管管径更大)和故障损失成本(铝芯电缆故障率更高),而在电缆LCC中占比最大的电能损耗成本的差别却很小,因为同等载流量下铜、铝芯电缆电阻差别很小;两种电缆的运行维护成本和退役成本差别也很小。
(3)由图3可知,案例中铜芯电缆的LCC中占比最大的是敷设成本和电能损耗成本,前者与排管敷设本身投资大、城区地面挖掘成本高有关系;其次是购置成本和故障损失成本,后者与该线路用户侧间接停电单位电量损失有关系;占比最小的是运行维护成本和退役成本。对于铝芯电缆,结论基本类似,只是购置成本所占比重有所降低。


图 2 铜、铝芯电缆LCC比较

图 3 铜芯电缆LCC比例
2.2 灵敏度分析
对于不同的电缆线路,敷设方式、运行负荷、用户类型和所在地区经济发展水平等都存在一定不同,故LCC计算中一些参数也有差异,这会对铜、铝芯电缆长期经济性的比较造成影响。下文将结合2.1节中应用案例,对一些变化范围较大的因素进行灵敏度分析,从而对铜、铝芯电缆LCC与各参数间的内在联系进行分析。
2.2.1 间接停电单位电量损失
间接停电单位电量损失YJJ与用户类型和重要程度有关,为研究YJJ对铜、铝芯电缆LCC的影响,计算多种YJJ下的铜、铝芯电缆LCC,结果如图4所示。

图 4 间接停电单位kW˙h损失对LCC的影响
由图4可知,当YJJ增加时两者LCC都相应增加,但变化速率不同,当YJJ小于17.5元/(kW˙h)时,铝芯电缆LCC更有优势,当YJJ大于17.5元/(kW˙h)时,铜芯电缆是更佳选择。可见铜、铝芯电缆分别更适合用于YJJ更高和更低的场合,这与实例中铝芯电缆故障率相对较高有关。
2.2.2 折现率
折现率与当地经济发展水平有关,图5反映折现率的变化对铜、铝芯电缆间的选择也有影响。当折现率为9.4%时,2种电缆LCC大致相同,当折现率小于9.4%时,铜芯电缆长期经济性更好,而大于9.4%时,铝芯电缆为更优方案。

图 5 折现率对LCC的影响
2.2.3 最大负荷损耗时间和线损电价
表4为在不同最大负荷损耗时间和线损电价组合下铜、铝芯电缆LCC的差值ΔCLCC,可见最大负荷损耗时间和线损电价对ΔCLCC的影响很小,铜芯电缆始终为更优方案,这主要是因为同等载流量下铜、铝芯电缆交流电阻相差很小。

表 4 线损电价和最大负荷损耗时间对ΔCLCC的影响
3 结论
本文构建了考虑资金时间价值的包括购置成本、敷设成本、电能损耗成本、运行维护成本、故障损失成本和退役成本的电缆LCC模型,以LCC为量化评估指标,实现工程中铜、铝芯电缆间的选择,并通过案例进行验证,得到以下结论。
(1)以广州城区某变电站电缆出线作为应用案例,分析表明:铜芯电缆LCC更小,其为更优方案,证明了运用LCC理论进行实际电缆工程中铜、铝芯电缆间的选择是可行的。
(2)案例中铝芯电缆虽然购置成本更低,但敷设成本和运行维护成本、故障损失成本等后期运行成本均处于劣势,使得总LCC更大,故铜或铝芯电缆的选择不应只看初始投资。
(3)在案例中选取一些因素进行灵敏度分析,发现间接停电单位损失和折现率对铜、铝芯电缆LCC的影响较大,其中较低的间接停电单位电量损失和更高折现率会使铝芯电缆更有优势。
作者:游磊 , 张雪莹 , 王鹏宇 , 李峰 , 林冬 , 刘刚
参考文献
[1]汤亚华. 铝芯电缆替代铜芯电缆的探讨[J]. 电源技术应用, 2011, 14(10): 54-59.
TANG Yahua. The discussion on the replacement of the copper core cable by the aluminum core cable[J]. Power Supply Technologies and Applications, 2011, 14(10): 54-59. (5)
[2]陈小飞. 铝芯电缆在配电网建设改造中的应用分析[J]. 浙江电力, 2010, 29(6): 17-19.
CHEN Xiaofei. Application of aluminum cables in distribution network construction and transformation[J]. Zhejiang Electric Power, 2010, 29(6): 17-19. (1)
[3]窦飞, 乔黎伟. 铝芯电缆在电网建设中的应用[J]. 电力建设, 2011, 32(7): 101-104.
DOU Fei, QIAO Liwei. Application of aluminum core cable on power grid construction[J]. Electric Power Construction, 2011, 32(7): 101-104. (2)
[4]李泓泽, 郎斌. 全寿命周期造价管理在电力工程造价管理中的应用研究[J]. 华北电力大学学报, 2008(1): 7-11.
LI Hongze, LANG Bin. The application of the whole life cycle engineering cost management on the electricity engineering Field[J]. Journal of North China Electric Power University, 2008(1): 7-11. (1)
[5]王建. 全寿命周期成本理论在电力设备投资决策中的应用研究[D]. 重庆: 重庆大学, 2008. (0)
[6]李涛, 马薇, 黄晓蓓. 基于全寿命周期成本理论的变电设备管理[J]. 电网技术, 2008, 32(11): 50-53.
LI Tao, MA Wei, HUANG Xiaobei. Power transformation equipment management based on life cycle cost theory[J]. Power System Technology, 2008, 32(11): 50-53. (0)
[7]苏海锋. 配电系统规划全寿命周期管理理论和方法研究[D]. 保定: 华北电力大学, 2012. (0)
[8]苏卫华, 管俊, 杨熠娟, 等. 全寿命周期成本电网规划的灵敏度分析模型[J]. 中国电力, 2014, 47(11): 127-133.
SU Weihua, GUAN Jun, YANG Yijuan, et al. Research on Sensitivity Analytical Model of Life Cycle Cost for Power Grid Planning[J]. Electric Power, 2014, 47(11): 127-133. (0)
[9]柏丹丹, 戴雨剑, 李奇峰. 输电线路金具的全寿命选型[J]. 中国电力, 2016, 49(4): 188-191.
BAI Dandan, DAI Yujian, LI Qifeng, et al. Life Cycle Type-ion for Electric Power Transmission Line Fittings[J]. Electric Power, 2016, 49(4): 188-191. DOI:10.11930/j.issn.1004-9649.2016.04.188.00 (1)柴油发电机组
[10]路石俊, 李翔. 基于盲数理论的变电站工程全寿命周期成本估算[J]. 电网技术, 2010, 34(3): 141-145.
LU Shijun, LI Xiang. Full life-cycle cost estimation of substation project based on blind number theory[J]. Power System Technology, 2010, 34(3): 141-145. (1)
[11]陈敏, 佘双翔, 刘小松, 等. 基于LCC的海上风电场主变压器冗余配置经济性对比与分析[J]. 电力系统自动化, 2015, 39(14): 168-173.
CHEN Min, SHE Shuangxiang, LIU Xiaosong, et al. Economical assessment on redundancy configuration of main transformers for offshore wind farm based on life cycle cost[J]. Automation of Electric Power Systems, 2015, 39(14): 168-173. DOI:10.7500/AEPS20140430005 (1)
[12]刘汉生, 刘剑, 李俊娥, 等. 基于全寿命周期成本评估的特高压直流输电线路导线选型[J]. 高电压技术, 2012, 38(2): 310-315.
LIU Hansheng, LIU Jian, LI Jun-e, et al. Conductor ion of UHVDC transmission lines based on life cycle cost[J]. High Voltage Engineering, 2012, 38(2): 310-315. (1)
[13]张慧娟, 赵庆生, 王英, 等. 基于盲数的电力开关设备全寿命周期成本估算[J]. 高压电器, 2013, 49(11): 12-16.
ZHANG Huijuan, ZHAO Qingsheng, WANG Ying, et al. Life cycle cost estimation of power switchgears based on blind number theory[J]. High Voltage Apparatus, 2013, 49(11): 12-16. (0)
[14]徐玉琴, 任正, 詹翔灵, 等. 电力变压器全寿命周期成本建模及其综合敏感性分析[J]. 华北电力大学学报(自然科学版), 2014, 41(6): 80-87.
XU Yuqin, REN Zheng, ZHAN Xiangling, et al. Life cycle cost model and comprehensive sensitivity analysis of power transformer[J]. Journal of North China Electric Power University(Natural Science Edition), 2014, 41(6): 80-87. (0)
[15]刘洋, 苏浩益. 基于盲数理论的智能变电站全寿命周期成本估算[J]. 中国电力, 2016, 49(3): 83-87.
LIU Yang, SU Haoyi.. Life Cycle Cost Estimation of Smart Substation Based on Blind Number Theory[J]. Electric Power, 2016, 49(3): 83-87. DOI:10.11930/j.issn.1004-9649.2016.03.083.05 (0)
[16]徐玉琴, 任正, 詹翔灵. 基于物元模型的电力变压器全寿命周期成本风险评价[J]. 中国电力, 2014, 47(12): 127-132.
XU Yuqin, REN Zheng, ZHAN Xiangling. Life Cycle Cost Risk Assessment of Power Transformer Based on Matter-Element Model[J]. Electric Power, 2014, 47(12): 127-132. (1)
[17]杨延明. 基于有限元法的电力电缆载流量计算[D]. 哈尔滨: 哈尔滨理工大学, 2012. (1)
[18]International Standard IEC300-3-3. Lifecycle costing[S]. 1996: 27-28. (1)
[19]International Electrotechnical Commission. IEC60287-1 calculation of the current rating- part 1: Current rating equations (100% load factor) and calculation of losses[S]. Geneva, Switzerland: IEC, 2006. (1)
[20]BROOKS SM. Life cycle costs estimates for conceptual ideas[C]// Aerospace and Electronics Conference. Dayton, USA: IEEE, 1996, 3(2): 541–546. (1)
[21]吴明祥, 王少华. 浙江电网铝芯电缆运行情况分析[J]. 浙江电力, 2014(6): 6-10.
WU Mingxiang, WANG Shaohua. Analysis on operation status of aluminum core cables in Zhejiang power grid[J]. Zhejiang Electric Power, 2014(6): 6-10. (6)
[22]金家善, 邵立周. LCC分析的简化方法[J]. 中国设备工程, 2003(9): 6-8.
JIN Jiashan, SHAO Lizhou. The simplified method for the analysis of LCC[J]. China Plant Engineering, 2003(9): 6-8. (2)
[23]耿光飞, 唐巍, 许跃进, 等. 农村电网停电损失估算方法研究[J]. 中国农业大学学报, 2008, 13(6): 91-94.
GENG Guangfei, TANG Wei, XU Yuejin, et al. Research on estimation methods of power outage cost in rural power network[J]. Journal of China Agricultural University, 2008, 13(6): 91-94. (1)
[24]GB 50217—2007. 电力工程电缆设计规范[S]. 2007. (2)